O Steinsbo et al. Am J Gastrolenterol 2025. 120: 2623-2631. Open Access! Fecal Calprotectin Correlates With Disease Extent but Remains a Reliable Marker of Mucosal Healing in Ulcerative Colitis. Thanks to Ben Gold for this reference.
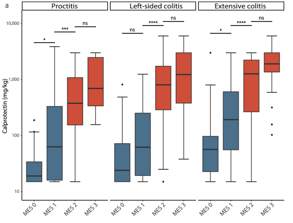
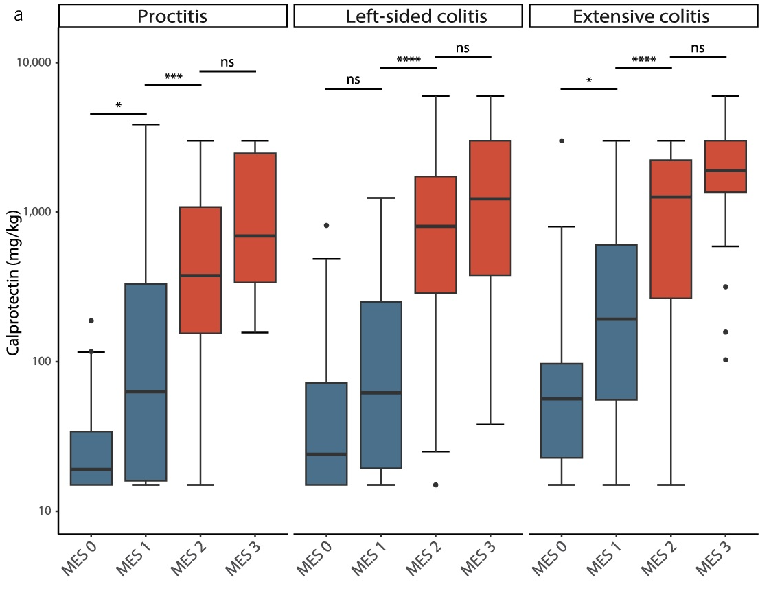
This single-center observational study (n=254) examined the correlation between fecal calprotectin (FC) levels with both disease extent and mucosal healing in ulcerative colitis. Mucosal healing was rated by the Mayo Endoscopic Score (MES).
Key findings:
- Disease extent: FC levels were significantly lower in proctitis (440 mg/kg) as compared with left-sided colitis (840 mg/kg) or pancolitis (1,690 mg/kg)
- Mucosal healing: In MES ≤1, FC levels were significantly lower in proctitis (24) compared to left-sided colitis (40) or pancolitis (85)



My take: Fecal calprotectin levels are clearly affected by the extent of disease involvement. However, the increase in calprotectin values associated with disease activity was significantly larger than the differences attributed to disease extent.
Related blog posts:
- Guideline: Biomarker Use for Ulcerative Colitis
- Correlating Calprotectin with Disease Severity in Pediatric IBD
- Normative Data for Fecal Calprotectin, age 4-16 yrs
- Fecal Calprotectin Levels Are Higher in the First Years of Life
- Targeting Calprotectin Levels Below 80 for Ulcerative Colitis Plus Obesity Medication Pushback
- Calprotectin Less Accurate for Isolated Ileal Crohn’s Disease
- AGA Guidance: Biomarkers for Crohn’s Disease